Официальное опубликование правовых актов
ОФИЦИАЛЬНОЕ ОПУБЛИКОВАНИЕ
Приказ Управления государственной охраны объектов культурного наследия Самарской области от 08.04.2022 № 72
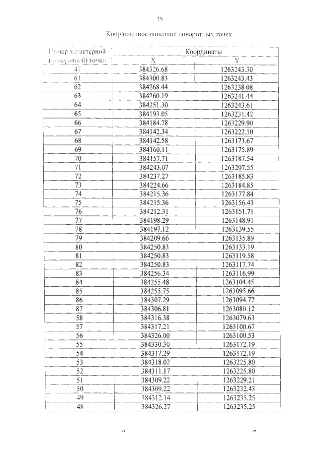
"Об утверждении границ территории и зон охраны объекта культурного наследия регионального значения "Железнодорожный вокзал (ст. Сызрань), здесь бывал В.И. Ленин в 1892, 1887, 1900 годах", расположенного по адресу: Самарская область, г. Сызрань, Здание железнодорожного вокзала, режимов использования земель и требований к градостроительным регламентам в границах данных зон"
Номер опубликования: 6301202204110008
Дата опубликования: 11.04.2022
Страница №17 из 47:
Увеличить