Официальное опубликование правовых актов
ОФИЦИАЛЬНОЕ ОПУБЛИКОВАНИЕ
Приказ Управления государственной охраны объектов культурного наследия Самарской области от 24.12.2021 № 263
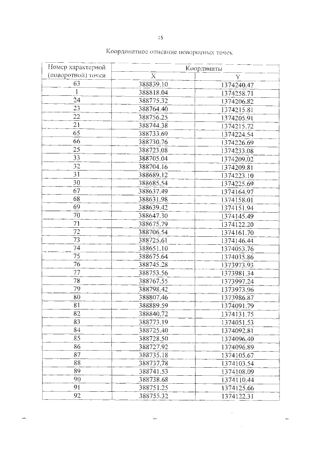
"Об утверждении границ территории и зон охраны объекта культурного наследия регионального значения "Комплекс военных казарм Линдовского городка", расположенного по адресу: Самарская область, г. Самара, ул. Мичурина, д. 64, 74, 78, 90, режимов использования земель и требований к градостроительным регламентам в границах данных зон"
Номер опубликования: 6301202112270007
Дата опубликования: 27.12.2021
Страница №18 из 36:
Увеличить