Официальное опубликование правовых актов
ОФИЦИАЛЬНОЕ ОПУБЛИКОВАНИЕ
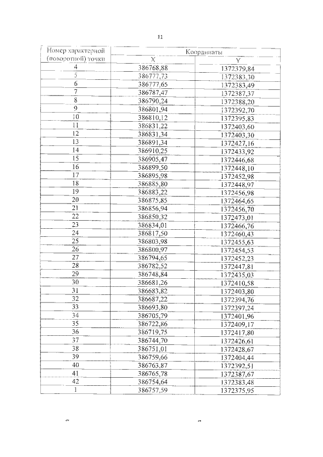
Приказ Управления государственной охраны объектов культурного наследия Самарской области от 24.12.2021 № 265
"Об утверждении границ территории и зон охраны объекта культурного наследия регионального значения "Больница общества Красного Креста", расположенного по адресу: Самарская область, г. Самара, ул. Л.Толстого, 136/ ул. Буянова, 11, режимов использования земель и требований к градостроительным регламентам в границах данных зон"
Номер опубликования: 6301202112270005
Дата опубликования: 27.12.2021
Страница №14 из 41:
Увеличить