Официальное опубликование правовых актов
ОФИЦИАЛЬНОЕ ОПУБЛИКОВАНИЕ
Приказ Управления государственной охраны объектов культурного наследия Самарской области от 24.12.2021 № 264
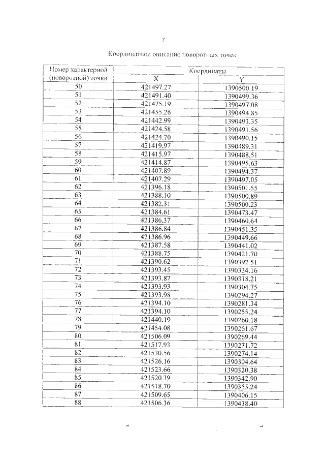
"Об утверждении границ территории и зон охраны объекта культурного наследия регионального значения "С. Красный Яр, здесь у пристава 2-го стана 14 июня 1889 г., приехав из Алакаевки, В.И. Ленин получал извещение самарского губернатора об отказе выдать ему заграничный паспорт и выдавал расписку (памятное место)", расположенного по адресу: Самарская область, Красноярский район, с. Красный Яр, режимов использования земель и требований к градостроительным регламентам в границах данных зон"
Номер опубликования: 6301202112270004
Дата опубликования: 27.12.2021
Страница №9 из 17:
Увеличить