Официальное опубликование правовых актов
ОФИЦИАЛЬНОЕ ОПУБЛИКОВАНИЕ
Приказ Министерства энергетики и жилищно-коммунального хозяйства Самарской области от 24.12.2021 № 234
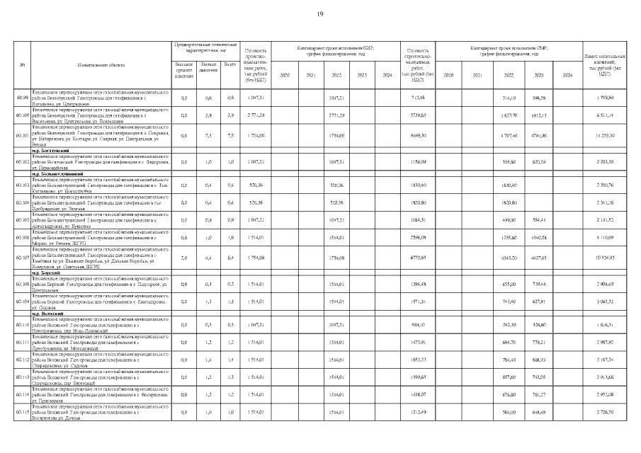
"О внесении изменений в приказ министерства энергетики и жилищно-коммунального хозяйства Самарской области от 17.06.2021 № 88 "Об утверждении программы газификации Самарской области на 2020–2024 годы, финансируемой за счет средств, полученных от применения специальных надбавок к тарифам на транспортировку газа обществом с ограниченной ответственностью "Средневолжская газовая компания"
Номер опубликования: 6301202112240002
Дата опубликования: 24.12.2021
Страница №21 из 28:
Увеличить