Официальное опубликование правовых актов
ОФИЦИАЛЬНОЕ ОПУБЛИКОВАНИЕ
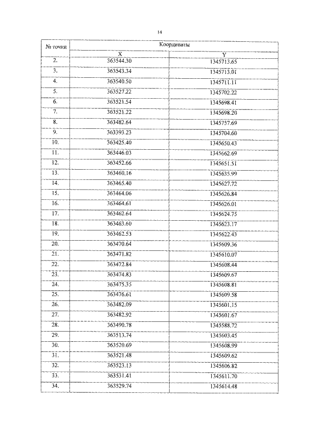
Приказ Управления государственной охраны объектов культурного наследия Самарской области от 22.12.2021 № 259
"Об утверждении охранного обязательства собственника или иного законного владельца объекта культурного наследия регионального значения "Дворец культуры имени В.И.Чапаева", расположенного по адресу: Самарская область, г. Чапаевск, ул. Комсомольская, 16, литеры Ааа1"
Номер опубликования: 6301202112230006
Дата опубликования: 23.12.2021
Страница №14 из 16:
Увеличить