Официальное опубликование правовых актов
ОФИЦИАЛЬНОЕ ОПУБЛИКОВАНИЕ
Приказ Министерства имущественных отношений Самарской области от 25.11.2021 № 2451
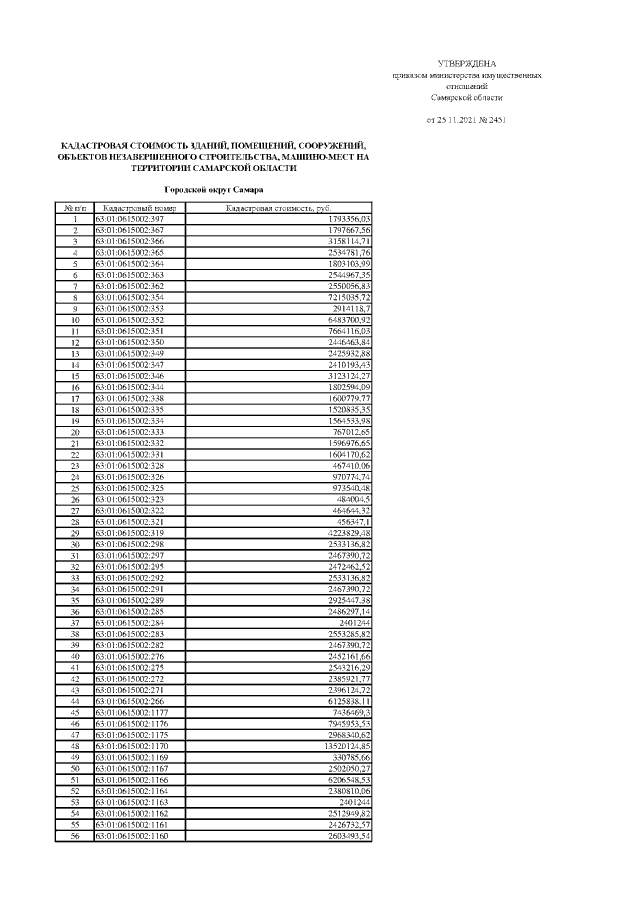
"Об утверждении результатов определения кадастровой стоимости зданий, помещений, сооружений, объектов незавершенного строительства, машино-мест на территории Самарской области"
Номер опубликования: 6301202112010008
Дата опубликования: 01.12.2021
Страница №4 из 32905:
Увеличить