Официальное опубликование правовых актов
ОФИЦИАЛЬНОЕ ОПУБЛИКОВАНИЕ
Приказ Министерства имущественных отношений Самарской области от 24.11.2021 № 2441
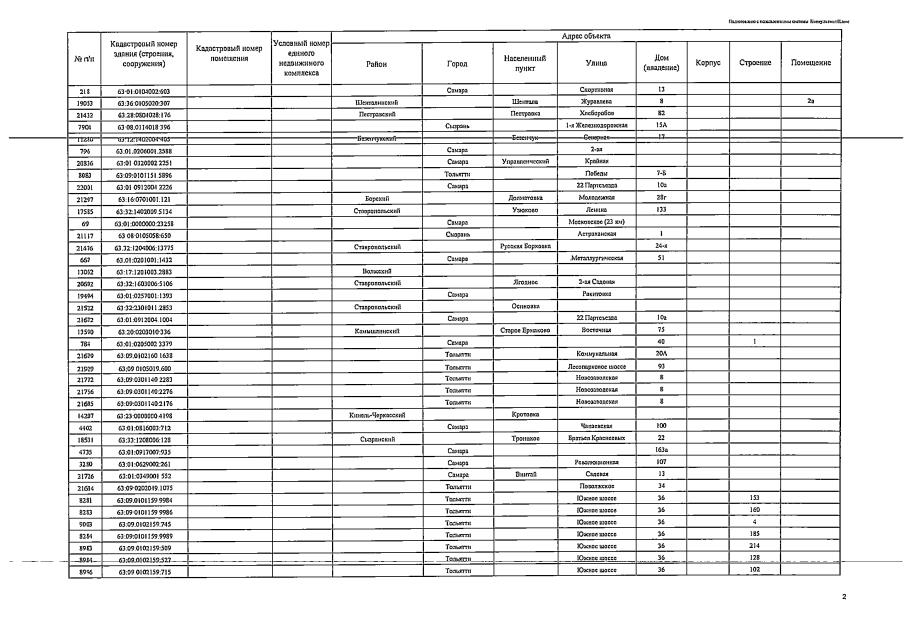
"О внесении изменений в приказ министерства имущественных отношений Самарской области от 19.10.2020 № 2014 "Об определении Перечня объектов недвижимого имущества, находящихся на территории Самарской области, в отношении которых налоговая база определяется как их кадастровая стоимость для целей налогообложения, на 2021 год"
Номер опубликования: 6301202111250004
Дата опубликования: 25.11.2021
Страница №8 из 12:
Увеличить