Официальное опубликование правовых актов
ОФИЦИАЛЬНОЕ ОПУБЛИКОВАНИЕ
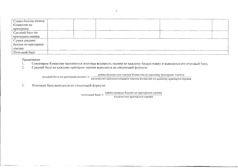
Приказ Министерства труда, занятости и миграционной политики Самарской области от 23.11.2021 № 21-н
"О внесении изменений в приказ министерства труда, занятости и миграционной политики Самарской области от 13.02.2015 № 25-п "Об утверждении Положения о комиссиях, создаваемых государственными казенными учреждениями Самарской области центрами занятости населения городских округов и муниципальных районов, по предоставлению единовременной финансовой помощи на открытие собственного дела гражданам, признанным в установленном порядке безработными, и гражданам, признанным в установленном порядке безработными, прошедшим профессиональное обучение или получившим дополнительное профессиональное образование по направлению органов службы занятости, при их государственной регистрации в качестве юридического лица, индивидуального предпринимателя либо крестьянского (фермерского) хозяйства, а также по предоставлению социальных выплат на организацию предпринимательской деятельности гражданам из числа инвалидов в возрасте от 18 до 60 лет, реализующим социальные проекты"
Номер опубликования: 6301202111240003
Дата опубликования: 24.11.2021
Страница №12 из 12:
Увеличить