Официальное опубликование правовых актов
ОФИЦИАЛЬНОЕ ОПУБЛИКОВАНИЕ
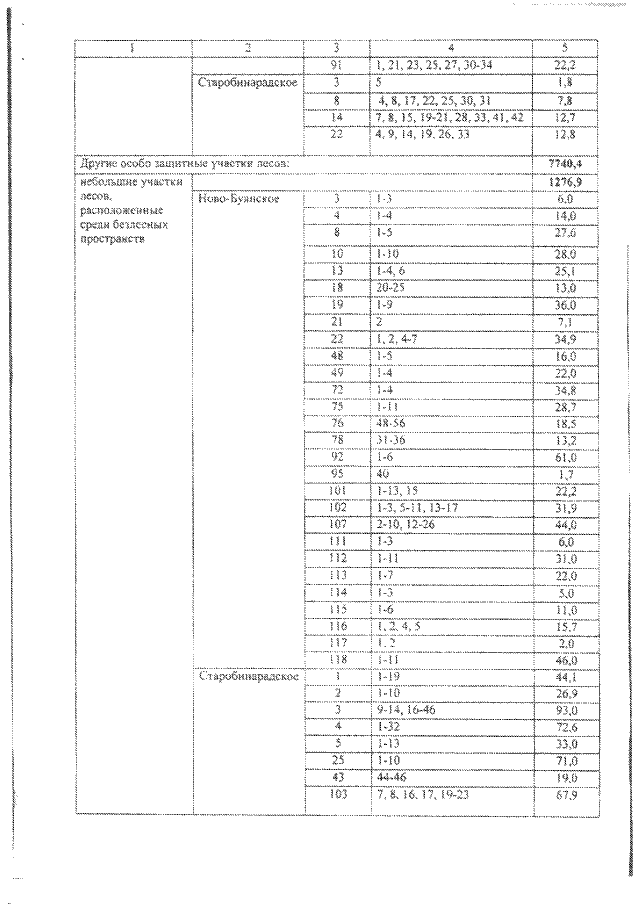
Приказ Министерства лесного хозяйства, охраны окружающей среды и природопользования Самарской области от 05.10.2021 № 700
"О внесении изменений в приказ министерства лесного хозяйства, охраны окружающей среды и природопользования Самарской области от 31.07.2018 № 405 "Об утверждении лесохозяйственных регламентов лесничеств, расположенных на территории Самарской области"
Номер опубликования: 6301202110070001
Дата опубликования: 07.10.2021
Страница №7 из 11:
Увеличить