Официальное опубликование правовых актов
ОФИЦИАЛЬНОЕ ОПУБЛИКОВАНИЕ
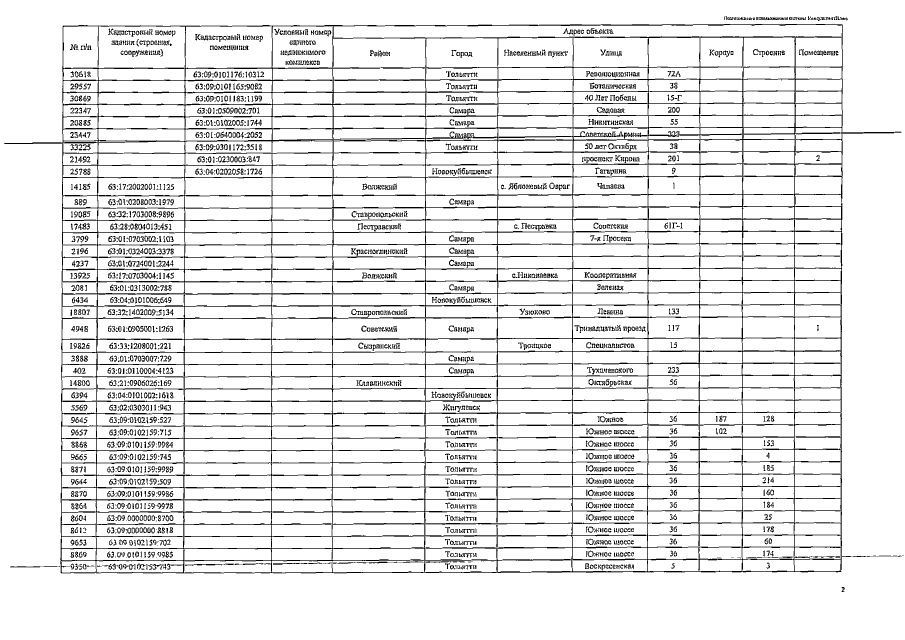
Приказ Министерства имущественных отношений Самарской области от 24.08.2021 № 1797
"О внесении изменений в приказ министерства имущественных отношений Самарской области от 18.10.2017 № 1647 "Об определении перечня объектов недвижимого имущества, находящихся на территории Самарской области, в отношении которых налоговая база определяется как их кадастровая стоимость для целей налогообложения, на 2018 год"
Номер опубликования: 6301202108250003
Дата опубликования: 25.08.2021
Страница №5 из 6:
Увеличить