Официальное опубликование правовых актов
ОФИЦИАЛЬНОЕ ОПУБЛИКОВАНИЕ
Приказ Министерства энергетики и жилищно-коммунального хозяйства Самарской области от 21.07.2021 № 99
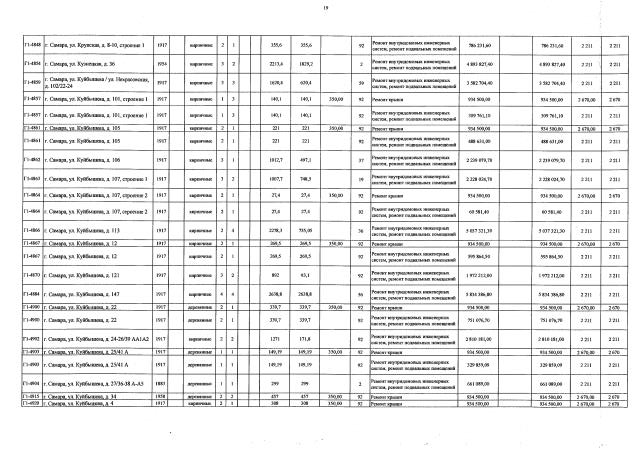
"О внесении изменений в приказ министерства энергетики и жилищно-коммунального хозяйства Самарской области от 29.12.2018 № 1027 "Об утверждении регионального краткосрочного плана реализации региональной программы капитального ремонта общего имущества в многоквартирных домах, расположенных на территории Самарской области, на 2019 – 2021 годы"
Номер опубликования: 6301202107220001
Дата опубликования: 22.07.2021
Страница №21 из 130:
Увеличить