Официальное опубликование правовых актов
ОФИЦИАЛЬНОЕ ОПУБЛИКОВАНИЕ
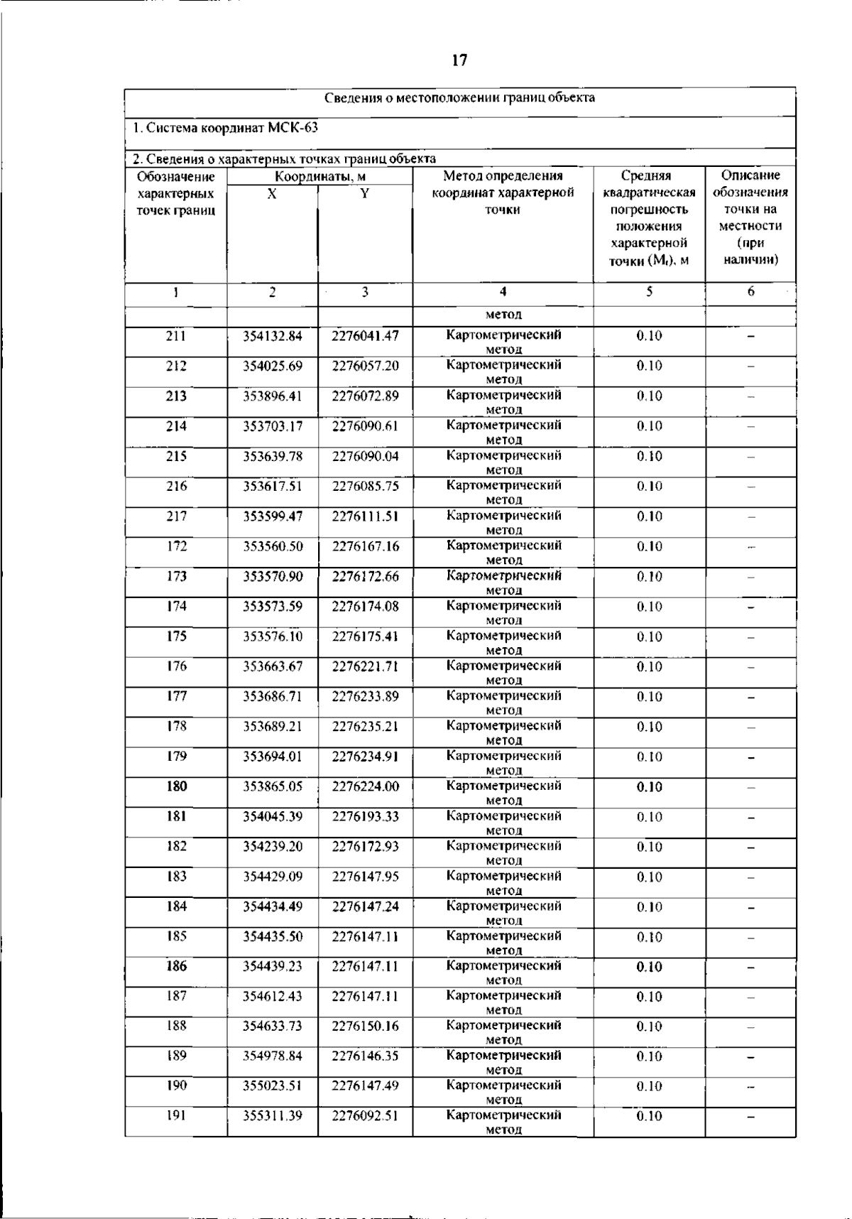
Постановление Правительства Самарской области от 21.01.2026 № 10
"О внесении изменений в Генеральный план сельского поселения Заплавное муниципального района Борский Самарской области"
Номер опубликования: 6300202601230012
Дата опубликования: 23.01.2026
Страница №65 из 124:
Увеличить