Официальное опубликование правовых актов
ОФИЦИАЛЬНОЕ ОПУБЛИКОВАНИЕ
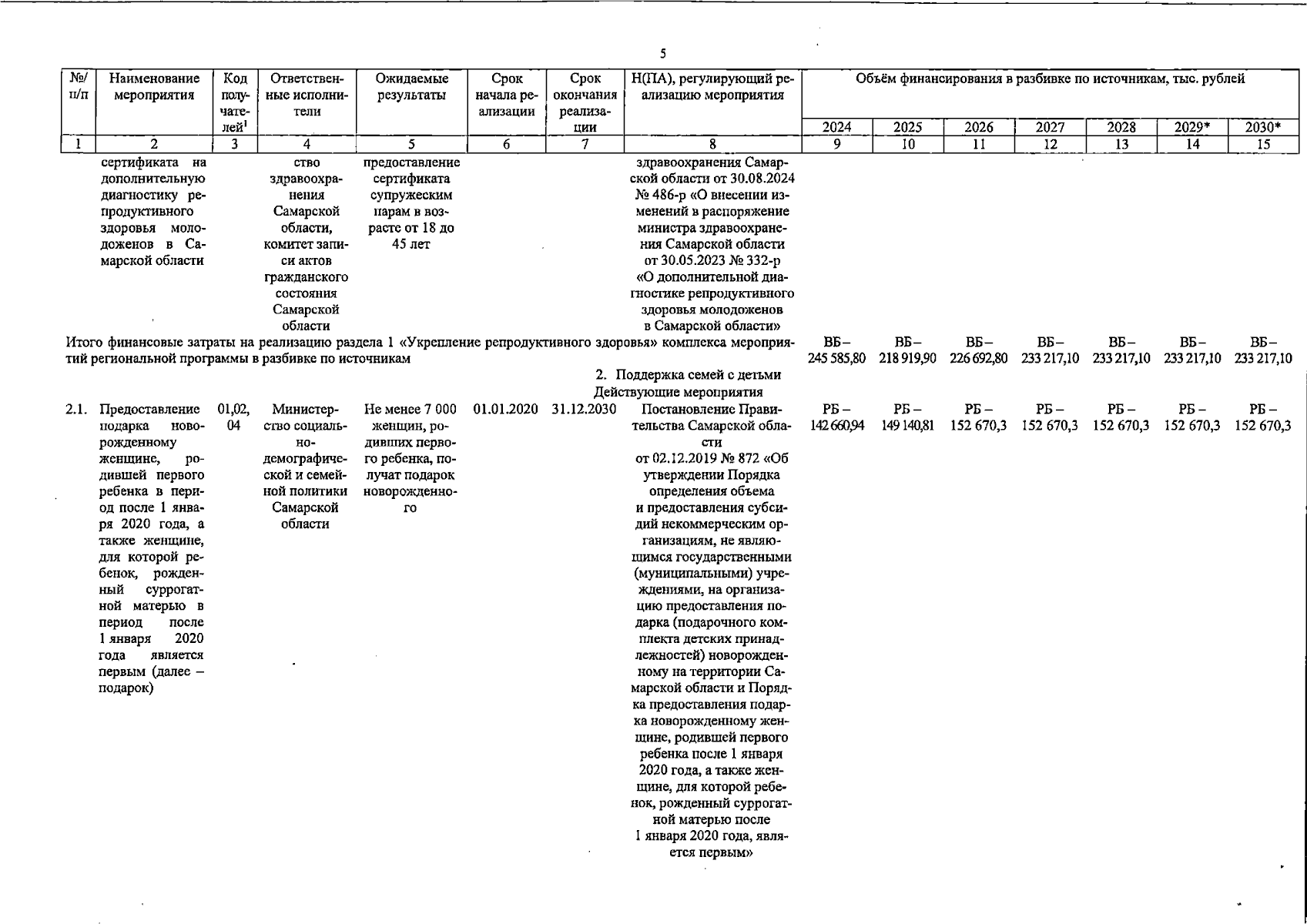
Распоряжение Правительства Самарской области от 18.12.2025 № 570-р
"О внесении изменений в распоряжение Правительства Самарской области от 25.12.2024 № 630-р "Об утверждении региональной программы по повышению рождаемости в Самарской области на 2024 – 2027 годы и признании утратившим силу распоряжения Правительства Самарской области от 30.06.2023 №345-р "Об утверждении Региональной программы по повышению рождаемости в Самарской области на 2023 – 2025 годы"
Номер опубликования: 6300202512220013
Дата опубликования: 22.12.2025
Страница №10 из 35:
Увеличить