Официальное опубликование правовых актов
ОФИЦИАЛЬНОЕ ОПУБЛИКОВАНИЕ
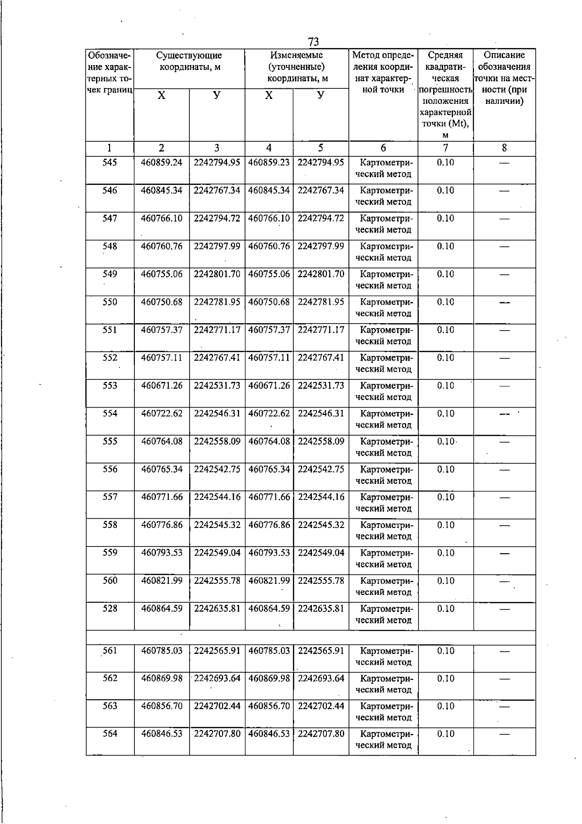
Постановление Правительства Самарской области от 13.08.2025 № 454
"О внесении изменений в Генеральный план сельского поселения Светлодольск муниципального района Сергиевский Самарской области"
Номер опубликования: 6300202508150002
Дата опубликования: 15.08.2025
Страница №113 из 121:
Увеличить