Официальное опубликование правовых актов
ОФИЦИАЛЬНОЕ ОПУБЛИКОВАНИЕ
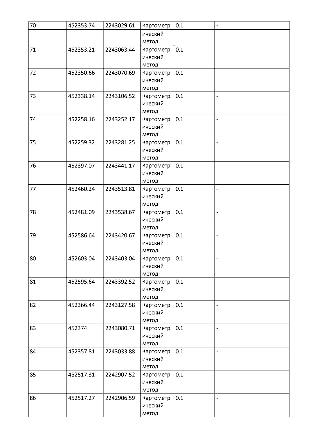
Постановление Правительства Самарской области от 16.07.2025 № 394
"О внесении изменений в Генеральный план сельского поселения Калиновка муниципального района Сергиевский Самарской области"
Номер опубликования: 6300202507180017
Дата опубликования: 18.07.2025
Страница №48 из 78:
Увеличить