Официальное опубликование правовых актов
ОФИЦИАЛЬНОЕ ОПУБЛИКОВАНИЕ
Постановление Правительства Самарской области от 16.07.2025 № 395
"О внесении изменений в Генеральный план сельского поселения Прибой муниципального района Безенчукский Самарской области"
Номер опубликования: 6300202507180016
Дата опубликования: 18.07.2025
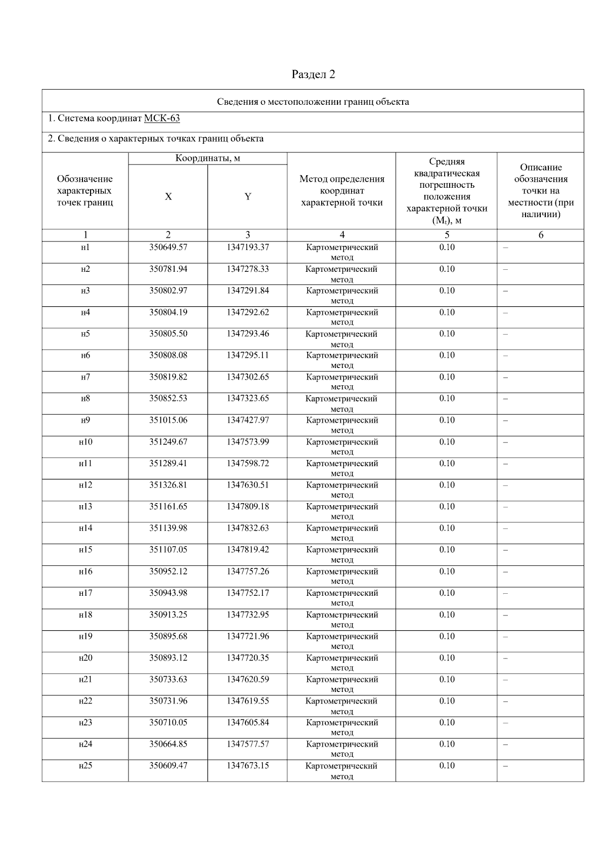
Страница №67 из 72:
Увеличить