Официальное опубликование правовых актов
ОФИЦИАЛЬНОЕ ОПУБЛИКОВАНИЕ
Распоряжение Правительства Самарской области от 14.02.2025 № 57-р
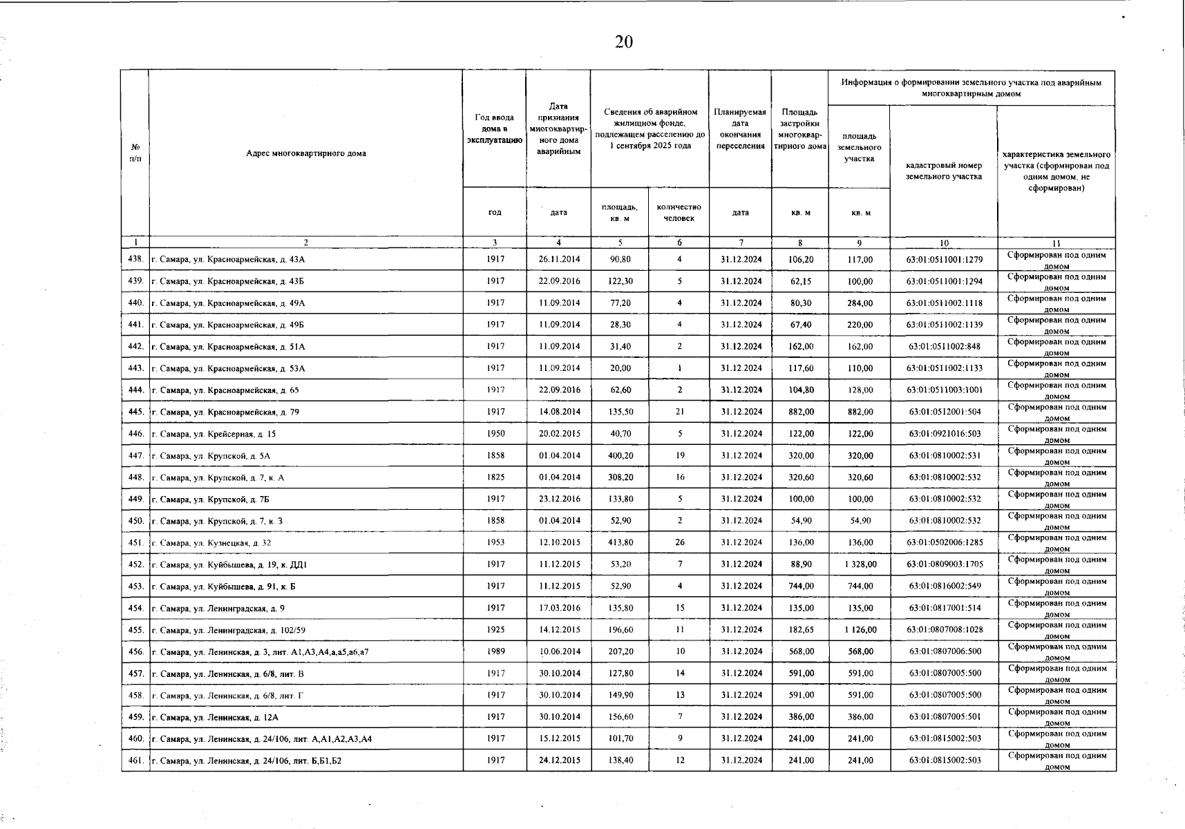
"О внесении изменений в распоряжение Правительства Самарской области от 24.02.2022 № 51-р "Об утверждении адресной программы Самарской области "Переселение граждан из аварийного жилищного фонда, признанного таковым до 1 января 2017 года" до 2025 года"
Номер опубликования: 6300202502170012
Дата опубликования: 17.02.2025
Страница №25 из 69:
Увеличить