Официальное опубликование правовых актов
ОФИЦИАЛЬНОЕ ОПУБЛИКОВАНИЕ
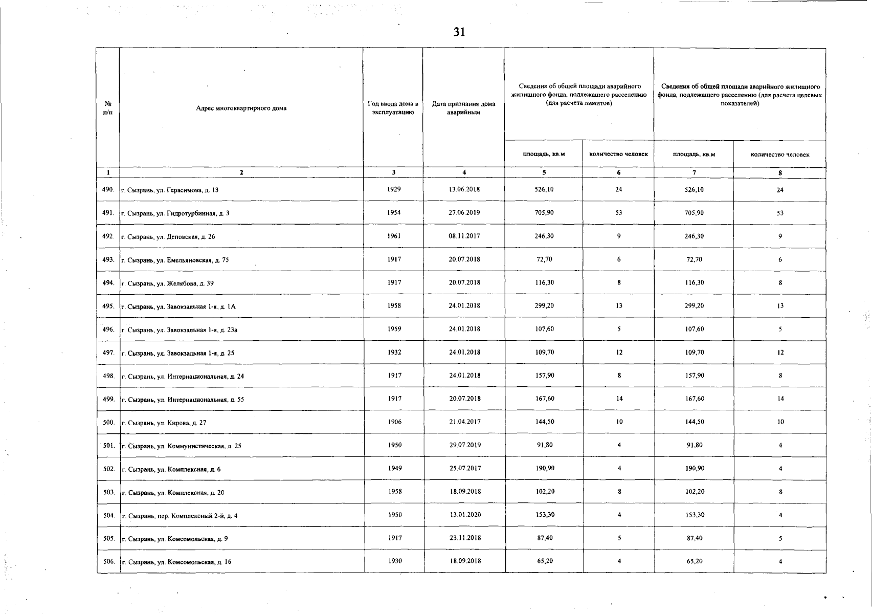
Распоряжение Правительства Самарской области от 14.02.2025 № 58-р
"Об утверждении адресной программы Самарской области "Переселение граждан из аварийного жилищного фонда, признанного таковым в период с 1 января 2017 года до 1 января 2022 года"
Номер опубликования: 6300202502170011
Дата опубликования: 17.02.2025
Страница №46 из 83:
Увеличить