Официальное опубликование правовых актов
ОФИЦИАЛЬНОЕ ОПУБЛИКОВАНИЕ
Постановление Правительства Самарской области от 03.05.2024 № 315
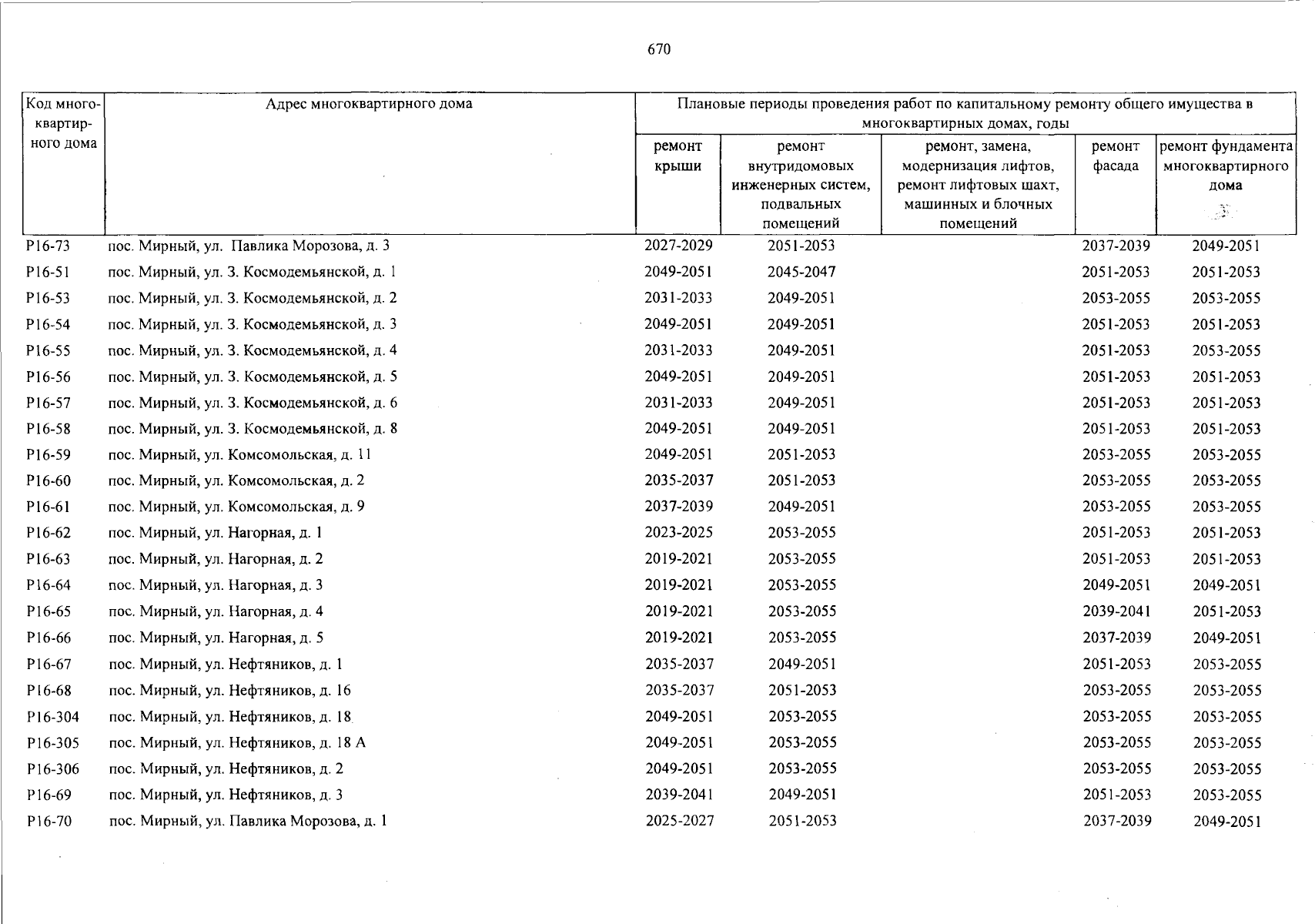
"О внесении изменений в постановление Правительства Самарской области от 29.11.2013 № 707 "Об утверждении региональной программы капитального ремонта общего имущества в многоквартирных домах, расположенных на территории Самарской области"
Номер опубликования: 6300202405060001
Дата опубликования: 06.05.2024
Страница №672 из 750:
Увеличить