Официальное опубликование правовых актов
ОФИЦИАЛЬНОЕ ОПУБЛИКОВАНИЕ
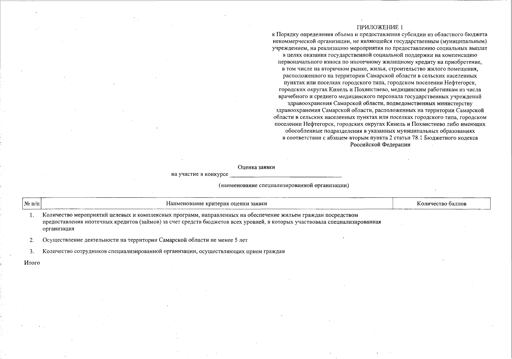
Постановление Правительства Самарской области от 27.12.2023 № 1143
"О внесении изменений в постановление Правительства Самарской области от 27.11.2013 № 674 "Об утверждении государственной программы Самарской области "Развитие здравоохранения в Самарской области" на 2014 – 2032 годы"
Номер опубликования: 6300202312290013
Дата опубликования: 29.12.2023
Страница №164 из 221:
Увеличить