Постановление Правительства Самарской области от 15.12.2023 № 1040
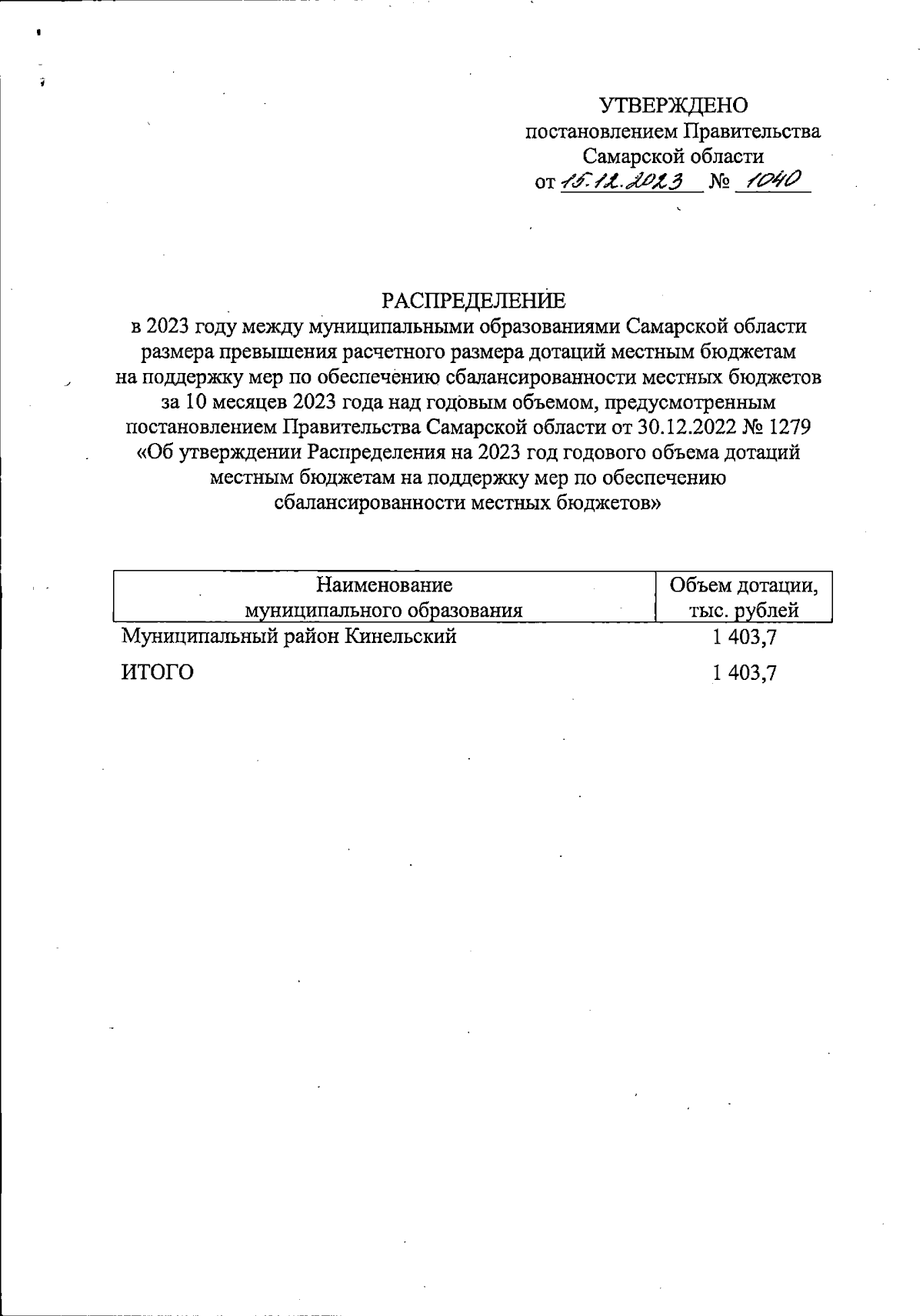
"Об утверждении Распределения в 2023 году между муниципальными образованиями Самарской области размера превышения расчетного размера дотаций местным бюджетам на поддержку мер по обеспечению сбалансированности местных бюджетов за 10 месяцев 2023 года над годовым объемом, предусмотренным постановлением Правительства Самарской области от 30.12.2022 № 1279 "Об утверждении Распределения на 2023 год годового объема дотаций местным бюджетам на поддержку мер по обеспечению сбалансированности местных бюджетов"
"Об утверждении Распределения в 2023 году между муниципальными образованиями Самарской области размера превышения расчетного размера дотаций местным бюджетам на поддержку мер по обеспечению сбалансированности местных бюджетов за 10 месяцев 2023 года над годовым объемом, предусмотренным постановлением Правительства Самарской области от 30.12.2022 № 1279 "Об утверждении Распределения на 2023 год годового объема дотаций местным бюджетам на поддержку мер по обеспечению сбалансированности местных бюджетов"
Номер опубликования: 6300202312190027
Дата опубликования:
19.12.2023
