Официальное опубликование правовых актов
ОФИЦИАЛЬНОЕ ОПУБЛИКОВАНИЕ
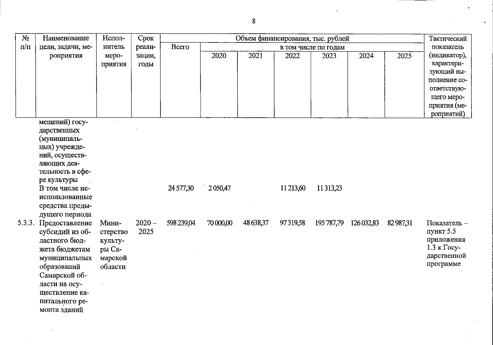
Постановление Правительства Самарской области от 15.12.2023 № 1036
"О внесении изменений в постановление Правительства Самарской области от 27.11.2013 № 682 "Об утверждении государственной программы Самарской области "Развитие культуры в Самарской области на период до 2025 года"
Номер опубликования: 6300202312190024
Дата опубликования: 19.12.2023
Страница №15 из 31:
Увеличить