Официальное опубликование правовых актов
ОФИЦИАЛЬНОЕ ОПУБЛИКОВАНИЕ
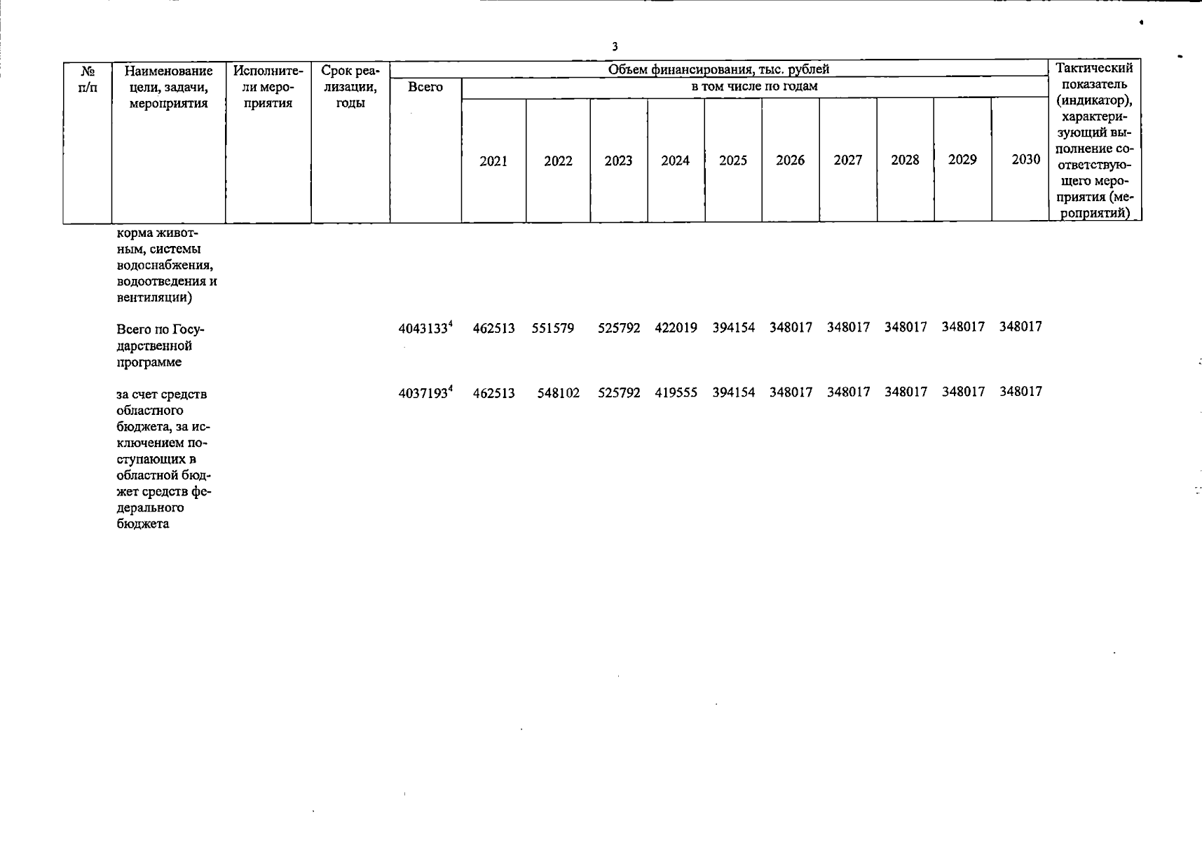
Постановление Правительства Самарской области от 10.11.2023 № 905
"О внесении изменений в отдельные постановления Правительства Самарской области"
Номер опубликования: 6300202311140001
Дата опубликования: 14.11.2023
Страница №11 из 11:
Увеличить