Официальное опубликование правовых актов
ОФИЦИАЛЬНОЕ ОПУБЛИКОВАНИЕ
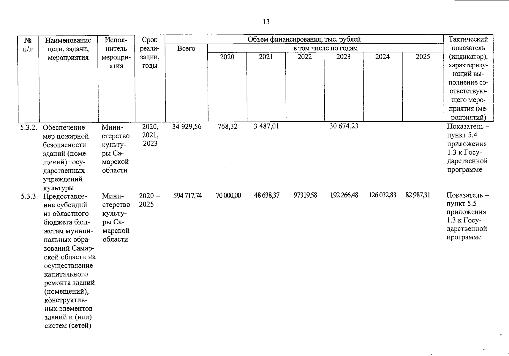
Постановление Правительства Самарской области от 26.10.2023 № 870
"Об использовании бюджетных ассигнований резервного фонда Правительства Самарской области и внесении изменений в отдельные постановления Правительства Самарской области"
Номер опубликования: 6300202311010010
Дата опубликования: 01.11.2023
Страница №24 из 47:
Увеличить