Официальное опубликование правовых актов
ОФИЦИАЛЬНОЕ ОПУБЛИКОВАНИЕ
Распоряжение Правительства Самарской области от 16.10.2023 № 543-р
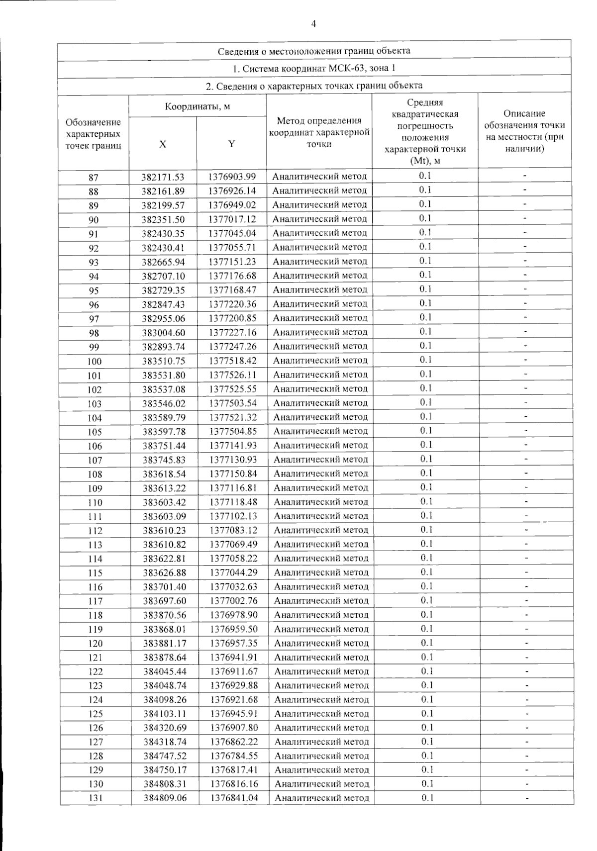
"О внесении изменений в распоряжение Правительства Самарской области от 13.02.2023 № 52-р "Об установлении публичного сервитута в отношении земельных участков, расположенных на территории Самарской области, в целях размещения объекта регионального значения – объекта системы газоснабжения"
Номер опубликования: 6300202310180004
Дата опубликования: 18.10.2023
Страница №10 из 32:
Увеличить