Официальное опубликование правовых актов
ОФИЦИАЛЬНОЕ ОПУБЛИКОВАНИЕ
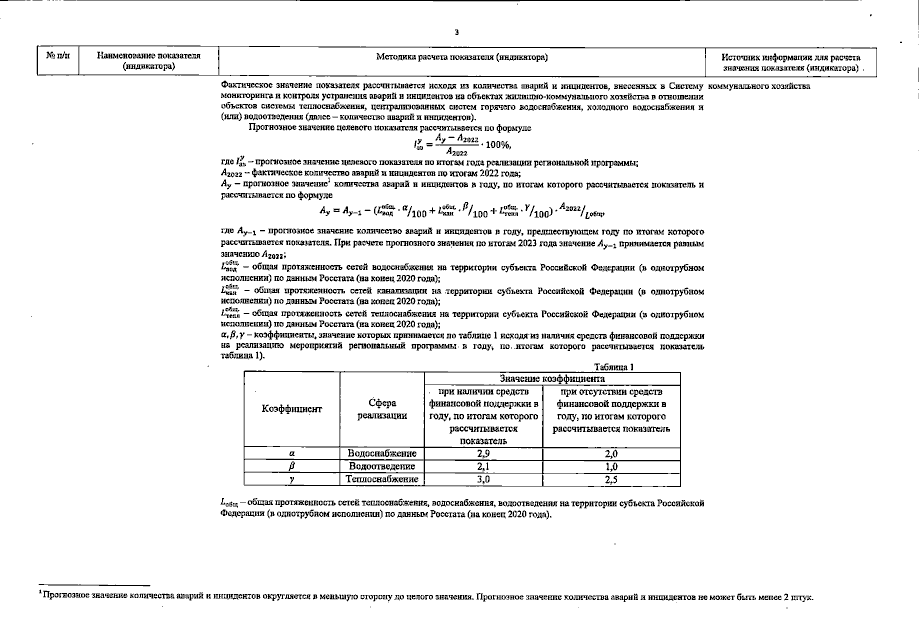
Постановление Правительства Самарской области от 28.07.2023 № 600
"Об использовании бюджетных ассигнований резервного фонда Правительства Самарской области и о внесении изменений в постановление Правительства Самарской области от 13.02.2023 № 102 "Об утверждении государственной программы Самарской области "Модернизация коммунального комплекса Самарской области" на 2023 – 2027 годы"
Номер опубликования: 6300202307280014
Дата опубликования: 28.07.2023
Страница №33 из 83:
Увеличить