Официальное опубликование правовых актов
ОФИЦИАЛЬНОЕ ОПУБЛИКОВАНИЕ
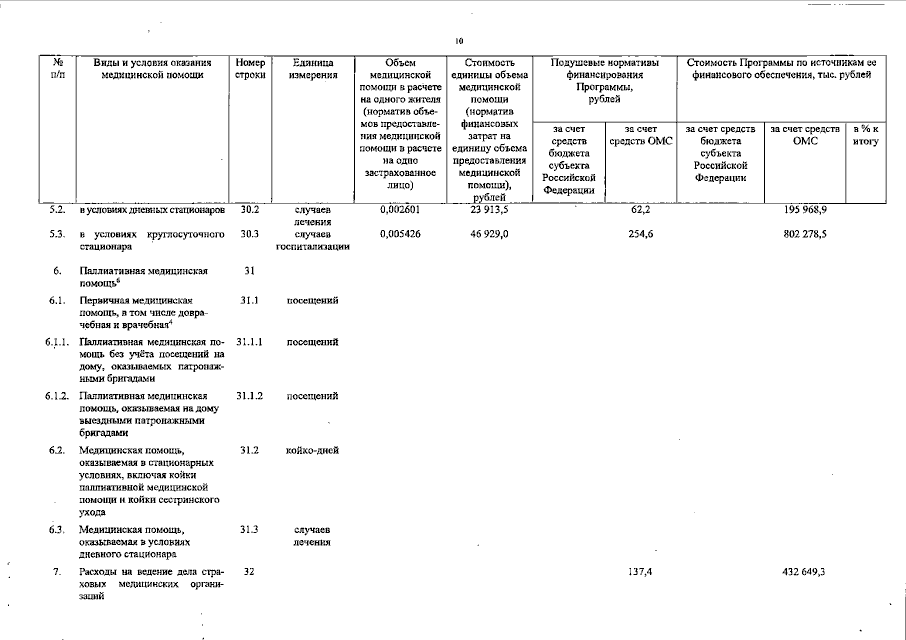
Постановление Правительства Самарской области от 23.06.2023 № 494
"О внесении изменений в постановление Правительства Самарской области от 22.12.2022 № 1209 "Об утверждении территориальной программы государственных гарантий бесплатного оказания гражданам медицинской помощи в Самарской области на 2023 год и на плановый период 2024 и 2025 годов"
Номер опубликования: 6300202306270003
Дата опубликования: 27.06.2023
Страница №34 из 107:
Увеличить