Официальное опубликование правовых актов
ОФИЦИАЛЬНОЕ ОПУБЛИКОВАНИЕ
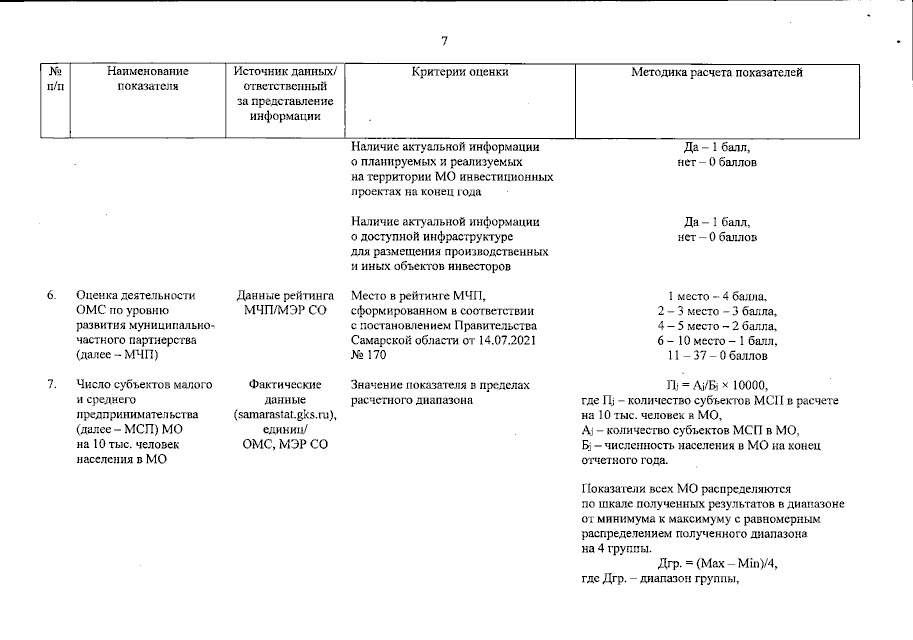
Постановление Губернатора Самарской области от 22.05.2023 № 73
"О внесении изменения в постановление Губернатора Самарской области от 06.08.2021 № 195 "О формировании рейтинга инвестиционной привлекательности муниципальных образований Самарской области"
Номер опубликования: 6300202305240002
Дата опубликования: 24.05.2023
Страница №9 из 12:
Увеличить