Официальное опубликование правовых актов
ОФИЦИАЛЬНОЕ ОПУБЛИКОВАНИЕ
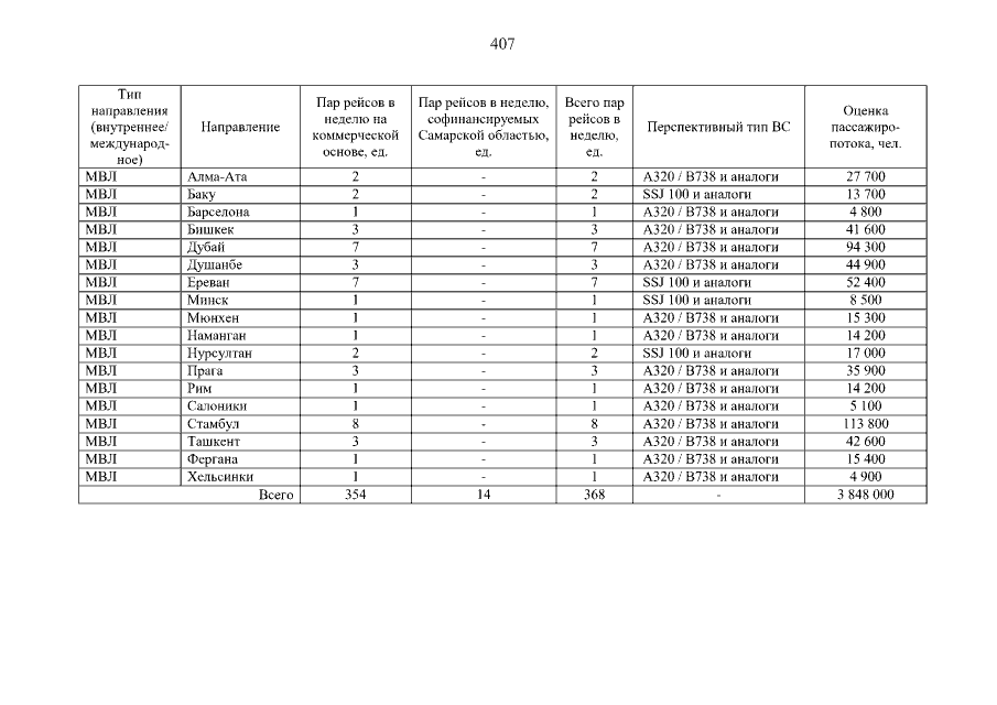
Распоряжение Правительства Самарской области от 04.05.2023 № 226-р
"Об утверждении комплексной схемы организации транспортного обслуживания населения Самарско-Тольяттинской агломерации общественным транспортом"
Номер опубликования: 6300202305050019
Дата опубликования: 05.05.2023
Страница №408 из 517:
Увеличить