Официальное опубликование правовых актов
ОФИЦИАЛЬНОЕ ОПУБЛИКОВАНИЕ
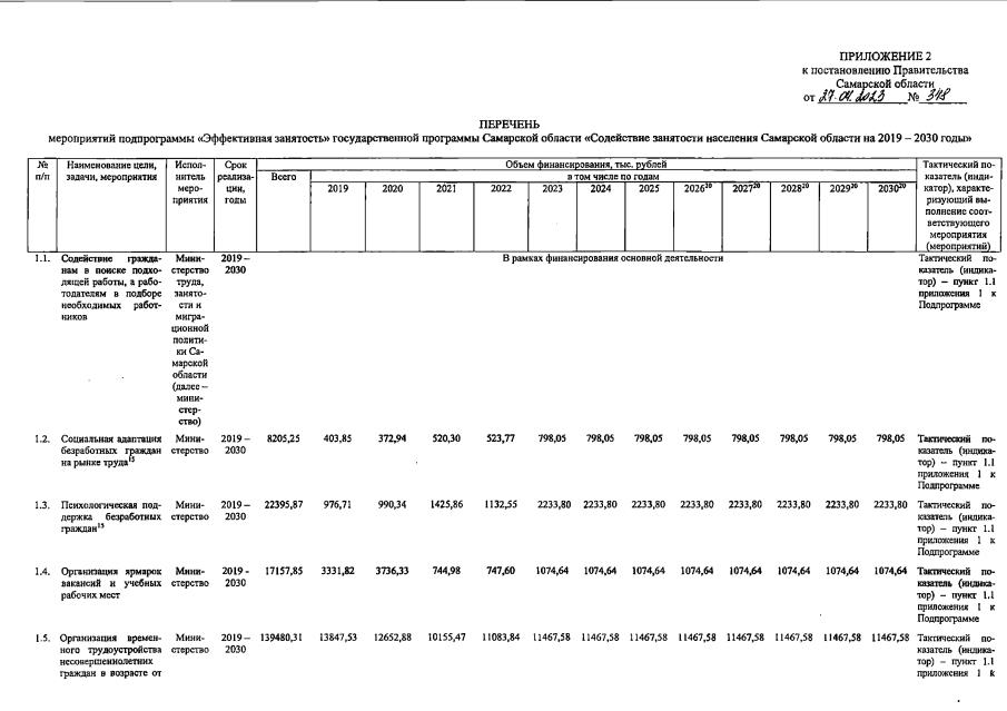
Постановление Правительства Самарской области от 27.04.2023 № 348
"Об использовании бюджетных ассигнований резервного фонда Правительства Самарской области и о внесении изменений в постановление Правительства Самарской области от 04.12.2018 № 748 "Об утверждении государственной программы Самарской области "Содействие занятости населения Самарской области на 2019 – 2025 годы"
Номер опубликования: 6300202304280009
Дата опубликования: 28.04.2023
Страница №28 из 181:
Увеличить