Официальное опубликование правовых актов
ОФИЦИАЛЬНОЕ ОПУБЛИКОВАНИЕ
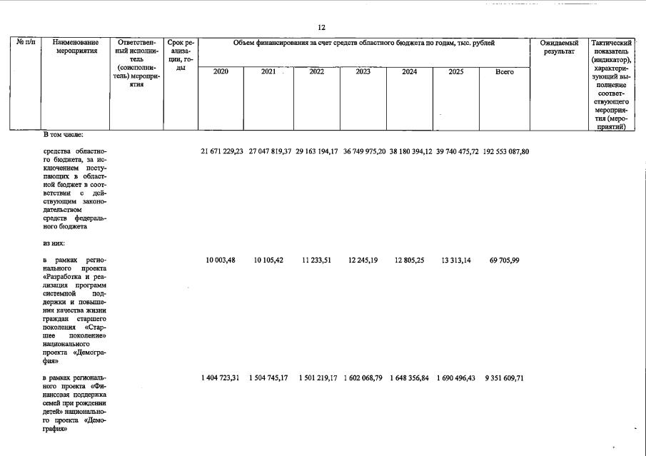
Постановление Правительства Самарской области от 21.03.2023 № 215
"О внесении изменений в постановление Правительства Самарской области от 23.07.2014 № 418 "Об утверждении государственной программы Самарской области "Развитие социальной защиты населения в Самарской области" на 2014 – 2025 годы"
Номер опубликования: 6300202303240006
Дата опубликования: 24.03.2023
Страница №32 из 34:
Увеличить