Официальное опубликование правовых актов
ОФИЦИАЛЬНОЕ ОПУБЛИКОВАНИЕ
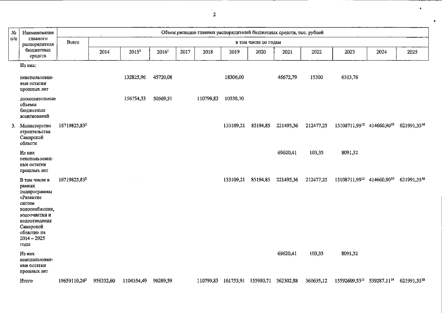
Постановление Правительства Самарской области от 20.03.2023 № 208
"О внесении изменений в постановление Правительства Самарской области от 29.11.2013 № 701 "Об утверждении государственной программы Самарской области "Развитие коммунальной инфраструктуры в Самарской области" на 2014 - 2025 годы"
Номер опубликования: 6300202303220002
Дата опубликования: 22.03.2023
Страница №11 из 12:
Увеличить