Официальное опубликование правовых актов
ОФИЦИАЛЬНОЕ ОПУБЛИКОВАНИЕ
Постановление Правительства Самарской области от 07.03.2023 № 158
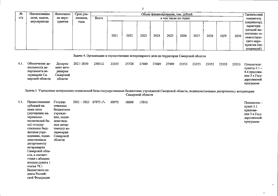
"О внесении изменений в постановление Правительства Самарской области от 23.12.2020 № 1080 "Об утверждении государственной программы Самарской области "Обеспечение эпизоотического и ветеринарно-санитарного благополучия территории Самарской области" на 2021 – 2030 годы"
Номер опубликования: 6300202303100001
Дата опубликования: 10.03.2023
Страница №8 из 11:
Увеличить