Официальное опубликование правовых актов
ОФИЦИАЛЬНОЕ ОПУБЛИКОВАНИЕ
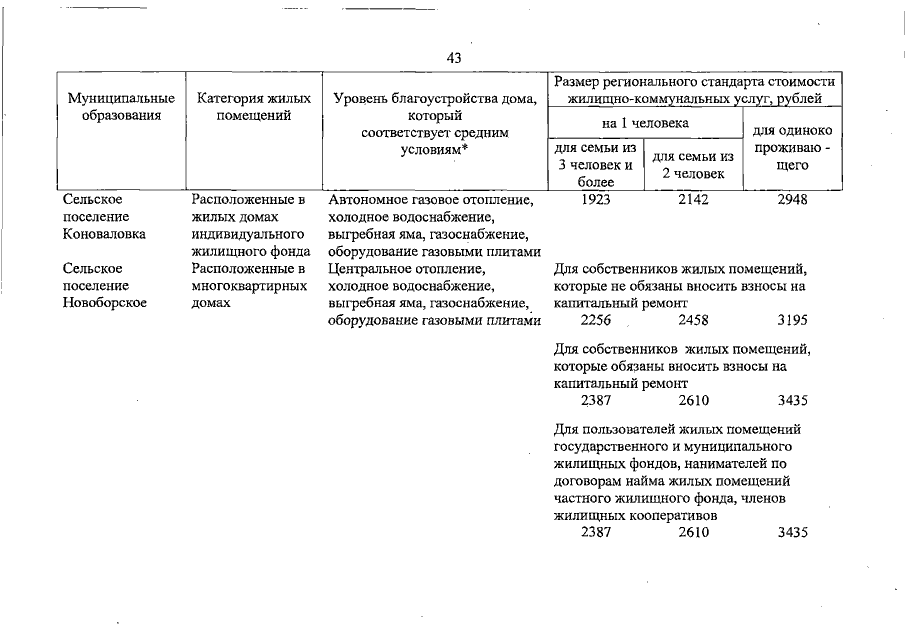
Постановление Правительства Самарской области от 15.02.2023 № 105
"Об установлении регионального стандарта стоимости жилищно-коммунальных услуг, дифференцированной по муниципальным образованиям в Самарской области, используемого при расчете субсидий гражданам на оплату жилого помещения и коммунальных услуг, и о признании утратившим силу отдельного постановления Правительства Самарской области"
Номер опубликования: 6300202302170003
Дата опубликования: 17.02.2023
Страница №45 из 216:
Увеличить