Официальное опубликование правовых актов
ОФИЦИАЛЬНОЕ ОПУБЛИКОВАНИЕ
Постановление Правительства Самарской области от 06.02.2023 № 78
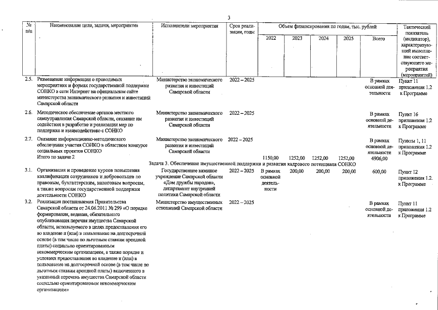
"О внесении изменений в постановление Правительства Самарской области от 27.11.2013 № 676 "Об утверждении государственной программы Самарской области "Поддержка социально ориентированных некоммерческих организаций в Самарской области" на 2014 – 2024 годы"
Номер опубликования: 6300202302080005
Дата опубликования: 08.02.2023
Страница №14 из 20:
Увеличить