Официальное опубликование правовых актов
ОФИЦИАЛЬНОЕ ОПУБЛИКОВАНИЕ
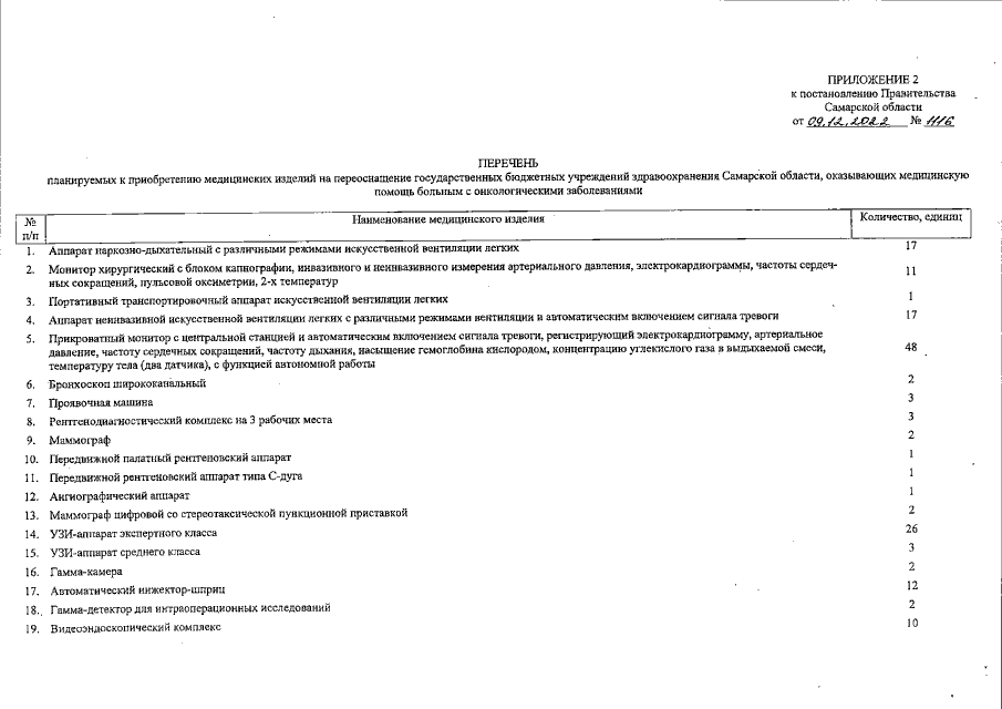
Постановление Правительства Самарской области от 09.12.2022 № 1116
"Об использовании бюджетных ассигнований резервного фонда Правительства Самарской области и о внесении изменений в постановление Правительства Самарской области от 27.11.2013 № 674 "Об утверждении государственной программы Самарской области "Развитие здравоохранения в Самарской области" на 2014 – 2032 годы"
Номер опубликования: 6300202212130017
Дата опубликования: 13.12.2022
Страница №12 из 37:
Увеличить