Официальное опубликование правовых актов
ОФИЦИАЛЬНОЕ ОПУБЛИКОВАНИЕ
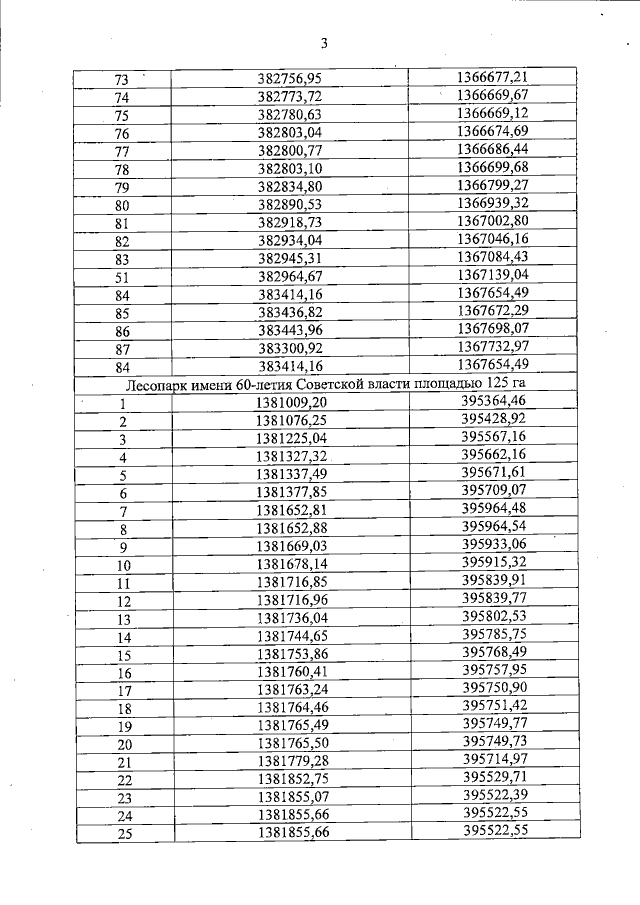
Постановление Правительства Самарской области от 05.12.2022 № 1075
"О внесении изменения в постановление Правительства Самарской области от 06.09.2018 № 534 "Об установлении границ лесопаркового зеленого пояса вокруг города Самары"
Номер опубликования: 6300202212070007
Дата опубликования: 07.12.2022
Страница №4 из 8:
Увеличить