Официальное опубликование правовых актов
ОФИЦИАЛЬНОЕ ОПУБЛИКОВАНИЕ
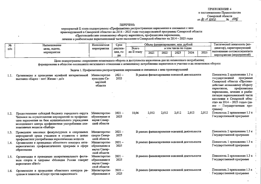
Постановление Правительства Самарской области от 30.11.2022 № 1056
"О внесении изменений в постановление Правительства Самарской области от 29.11.2013 № 710 "Об утверждении государственной программы Самарской области "Противодействие незаконному обороту наркотиков, профилактика наркомании, лечение и реабилитация наркозависимой части населения в Самарской области" на 2014 – 2024 годы"
Номер опубликования: 6300202212020001
Дата опубликования: 02.12.2022
Страница №16 из 29:
Увеличить