Официальное опубликование правовых актов
ОФИЦИАЛЬНОЕ ОПУБЛИКОВАНИЕ
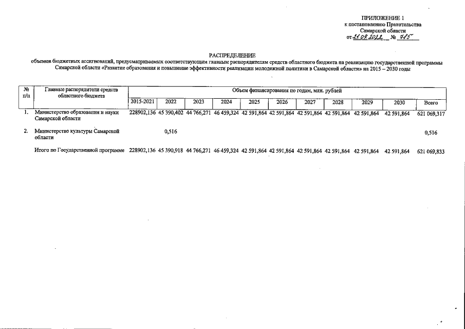
Постановление Правительства Самарской области от 21.09.2022 № 785
"О внесении изменений в постановление Правительства Самарской области от 21.01.2015 № 6 "Об утверждении государственной программы Самарской области "Развитие образования и повышение эффективности реализации молодежной политики в Самарской области" на 2015 – 2030 годы"
Номер опубликования: 6300202209230003
Дата опубликования: 23.09.2022
Страница №8 из 16:
Увеличить