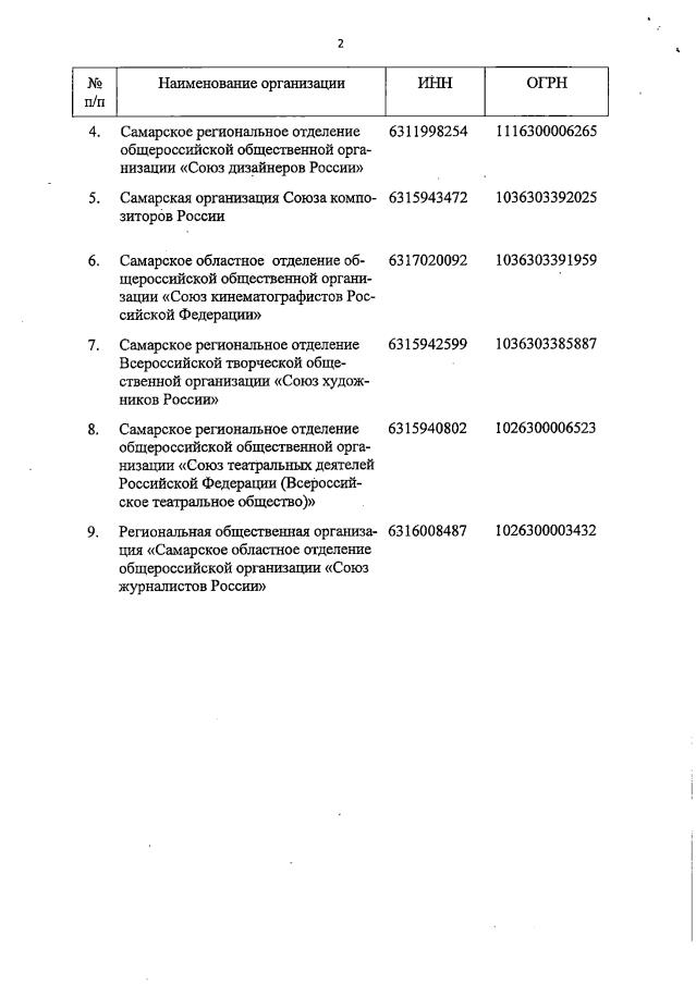
Официальное опубликование правовых актов
ОФИЦИАЛЬНОЕ ОПУБЛИКОВАНИЕ
Постановление Правительства Самарской области от 20.09.2022 № 781
"О внесении изменений в постановление Правительства Самарской области от 27.11.2013 № 682 "Об утверждении государственной программы Самарской области "Развитие культуры в Самарской области на период до 2024 года"
Номер опубликования: 6300202209220003
Дата опубликования: 22.09.2022
Страница №34 из 34:
Увеличить