Официальное опубликование правовых актов
ОФИЦИАЛЬНОЕ ОПУБЛИКОВАНИЕ
Постановление Правительства Самарской области от 14.09.2022 № 766
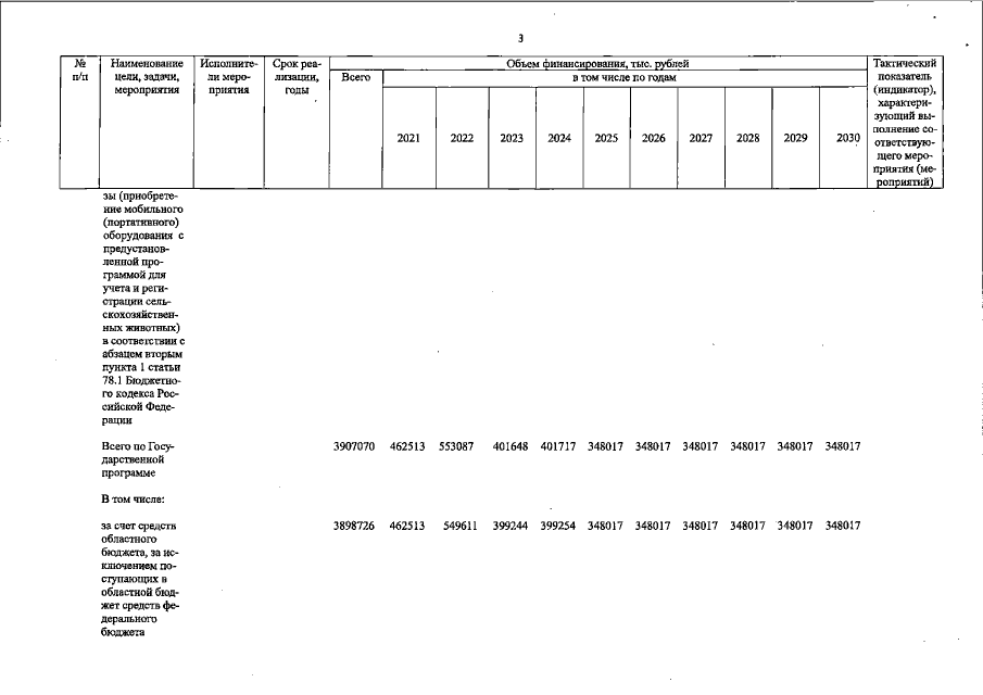
"Об использовании средств областного бюджета, зарезервированных в составе утвержденных Законом Самарской области "Об областном бюджете на 2022 год и на плановый период 2023 и 2024 годов" бюджетных ассигнований, предусмотренных на финансовое обеспечение мероприятий, связанных с предотвращением влияния ухудшения экономической ситуации на развитие отраслей экономики, с профилактикой и устранением последствий распространения новой коронавирусной инфекции, а также на иные цели, определенные Губернатором Самарской области и (или) Правительством Самарской области, и о внесении изменений в постановление Правительства Самарской области от 23.12.2020 № 1080 "Об утверждении государственной программы Самарской области "Обеспечение эпизоотического и ветеринарно-санитарного благополучия территории Самарской области" на 2021 – 2030 годы"
Номер опубликования: 6300202209160001
Дата опубликования: 16.09.2022
Страница №13 из 44:
Увеличить