Официальное опубликование правовых актов
ОФИЦИАЛЬНОЕ ОПУБЛИКОВАНИЕ
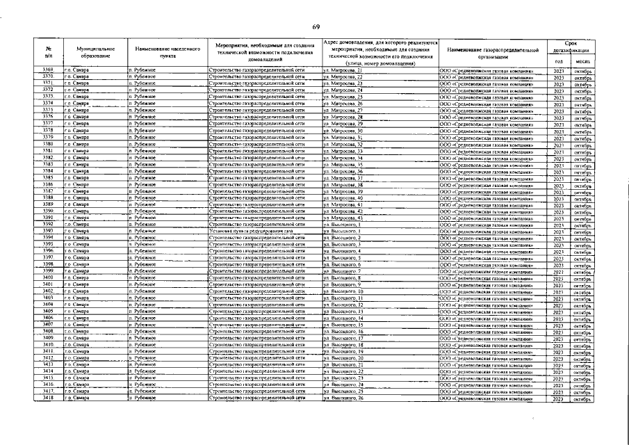
Распоряжение Правительства Самарской области от 16.08.2022 № 470-р
"Об утверждении региональной программы газификации жилищно-коммунального хозяйства, промышленных и иных организаций Самарской области на 2022 – 2031 годы и признании утратившим силу распоряжения Правительства Самарской области от 27.11.2020 № 589-р "Об утверждении региональной программы газификации жилищно-коммунального хозяйства, промышленных и иных организаций Самарской области на 2020 – 2024 годы и признании утратившим силу распоряжения Правительства Самарской области от 29.11.2019 № 1072-р "Об утверждении региональной программы газификации жилищно-коммунального хозяйства, промышленных и иных организаций Самарской области на 2019 – 2023 годы и признании утратившими силу отдельных распоряжений Правительства Самарской области"
Номер опубликования: 6300202208190003
Дата опубликования: 19.08.2022
Страница №248 из 563:
Увеличить