Официальное опубликование правовых актов
ОФИЦИАЛЬНОЕ ОПУБЛИКОВАНИЕ
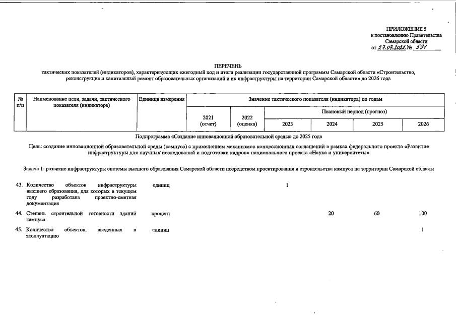
Постановление Правительства Самарской области от 27.07.2022 № 591
"О внесении изменений в отдельные постановления Правительства Самарской области"
Номер опубликования: 6300202207290018
Дата опубликования: 29.07.2022
Страница №39 из 52:
Увеличить