Официальное опубликование правовых актов
ОФИЦИАЛЬНОЕ ОПУБЛИКОВАНИЕ
Постановление Правительства Самарской области от 15.07.2022 № 543
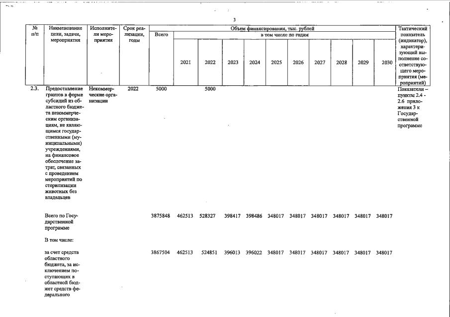
"О внесении изменений в постановление Правительства Самарской области от 23.12.2020 № 1080 "Об утверждении государственной программы Самарской области "Обеспечение эпизоотического и ветеринарно-санитарного благополучия территории Самарской области" на 2021 – 2030 годы"
Номер опубликования: 6300202207210002
Дата опубликования: 21.07.2022
Страница №15 из 60:
Увеличить