Официальное опубликование правовых актов
ОФИЦИАЛЬНОЕ ОПУБЛИКОВАНИЕ
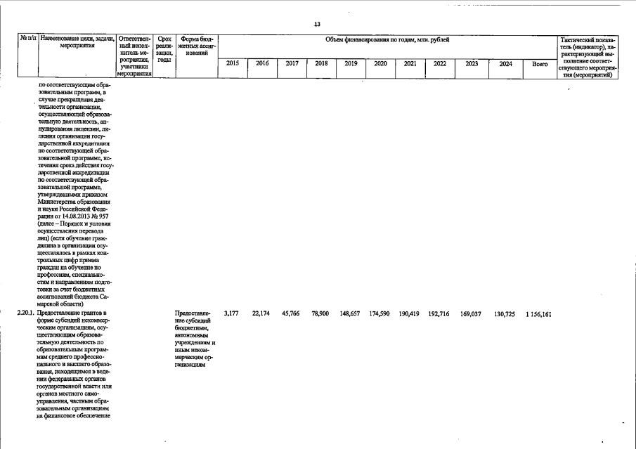
Постановление Правительства Самарской области от 01.04.2022 № 201
"О внесении изменений в постановление Правительства Самарской области от 21.01.2015 № 6 "Об утверждении государственной программы Самарской области "Развитие образования и повышение эффективности реализации молодежной политики в Самарской области" на 2015 – 2024 годы"
Номер опубликования: 6300202204060010
Дата опубликования: 06.04.2022
Страница №32 из 47:
Увеличить