Официальное опубликование правовых актов
ОФИЦИАЛЬНОЕ ОПУБЛИКОВАНИЕ
Постановление Правительства Самарской области от 27.01.2022 № 41
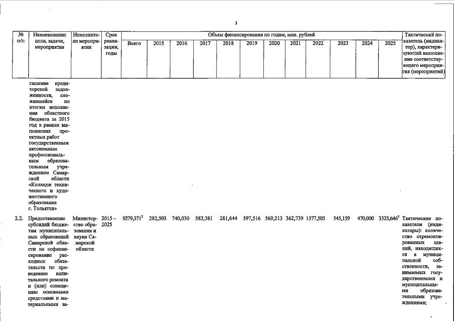
"О внесении изменений в постановление Правительства Самарской области от 11.02.2015 № 56 "Об утверждении государственной программы Самарской области "Строительство, реконструкция и капитальный ремонт образовательных учреждений Самарской области" до 2025 года""
Номер опубликования: 6300202201310002
Дата опубликования: 31.01.2022
Страница №48 из 147:
Увеличить