Официальное опубликование правовых актов
ОФИЦИАЛЬНОЕ ОПУБЛИКОВАНИЕ
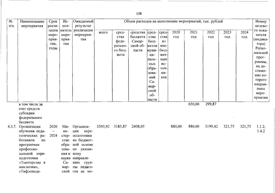
Постановление Правительства Самарской области от 14.12.2021 № 1003
"О внесении изменений в постановление Правительства Самарской области от 27.11.2013 № 671 "Об утверждении государственной программы Самарской области "Доступная среда в Самарской области" на 2014 – 2025 годы"
Номер опубликования: 6300202112170015
Дата опубликования: 17.12.2021
Страница №340 из 427:
Увеличить