Официальное опубликование правовых актов
ОФИЦИАЛЬНОЕ ОПУБЛИКОВАНИЕ
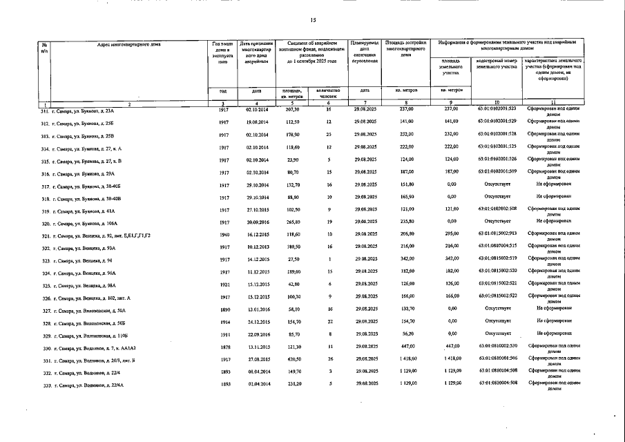
Постановление Правительства Самарской области от 09.12.2021 № 976
"О внесении изменений в постановление Правительства Самарской области от 29.03.2019 № 179 "Об утверждении государственной программы Самарской области "Переселение граждан из аварийного жилищного фонда, признанного таковым до 1 января 2017 года" до 2025 года"
Номер опубликования: 6300202112150026
Дата опубликования: 15.12.2021
Страница №50 из 142:
Увеличить