Официальное опубликование правовых актов
ОФИЦИАЛЬНОЕ ОПУБЛИКОВАНИЕ
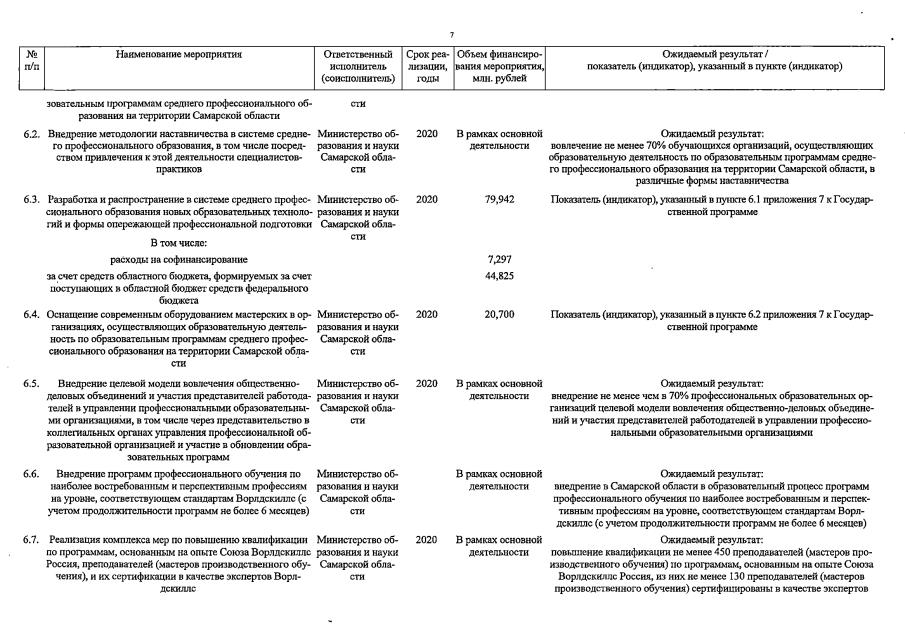
Постановление Правительства Самарской области от 24.03.2021 № 168
"О внесении изменений в постановление Правительства Самарской области от 21.01.2015 № 6 "Об утверждении государственной программы Самарской области "Развитие образования и повышение эффективности реализации молодежной политики в Самарской области" на 2015 – 2024 годы"
Номер опубликования: 6300202103260011
Дата опубликования: 26.03.2021
Страница №59 из 77:
Увеличить